位置: 首页»
科研动态
1月2日,必威betway西汉姆联夏星辉教授团队在Nature子刊 《Nature Communications》发表了题为“Short-term warming supports mineral-associated carbon accrual in abandoned croplands”的研究论文。

土壤有机碳 (SOC) 是陆地最大的碳库,SOC库的微小变化可能显著影响区域甚至全球气候,研究不同SOC组分对增温的响应是预测土壤碳-气候反馈的前提。SOC 可以物理分级为颗粒态有机碳 (POC) 和矿物结合态有机碳 (MAOC),当前研究主要聚焦于探索不同生态系统POC和MAOC的含量,关于增温对POC、MAOC影响的研究十分有限。此外,POC和MAOC因来源、组成和稳定性的差异导致了两者温度敏感性 (Q10) 不同,以往的研究普遍发现POC的Q10高于MAOC,然而,尚不清楚增温对POC和MAOC Q10的影响。
针对以上科学问题,Betway·必威(西汉姆联)夏星辉团队以中国农业荒地为研究对象,通过在中国不同气候带12个点位 (纬度22.33-46.58°N、年均温-0.9-22.3°C、年均降水量330-2272 mm,图1) 开展为期3年的原位模拟增温实验,利用SOC物理分级和室内变温培养技术,揭示了增温对POC、MAOC含量和Q10的影响。

图1 原位模拟增温实验点位分布图 (a),以及增温对POC和MAOC含量和比例的影响 (b-f)
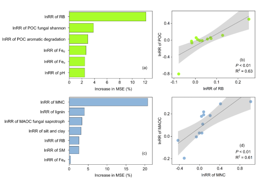
研究发现,增温后POC平均含量基本保持不变,而MAOC平均含量显著增加 (图1)。POC和MAOC含量的变化分别受地下生物量和微生物残体碳的调控 (图2)。此外,增温后POC的Q10略微增加而MAOC的Q10几乎不变 (图3),底物质量和矿物保护的变化分别是影响POC和MAOC Q10变化的主要因素 (图4)。无论增温与否,MAOC的Q10都显著低于POC,表明MAOC是SOC中更稳定的碳组分。这些结果揭示了短期增温有利于提高农业荒地稳定碳的封存。

图2 增温后POC (a, b) 和MAOC (c, d) 含量响应比 (lnRR) 与影响因子响应比的相对重要性及关系

图3 增温对POC和MAOC Q10的影响

图4 增温对POC和MAOC的影响及调控机制概念图
必威betway西汉姆联为第一单位,已毕业博士研究生张真瑞(目前为中国科学院地理科学与资源研究所博士后)为论文第一作者,夏星辉教授为通讯作者。论文合作者包括必威betway西汉姆联博士生高会,硕士生黄姝睿,北京林业大学生态与自然保护学院高晓霞讲师,中国科学院地理科学与资源研究所牛书丽研究员,欧盟委员会联合研究中心Emanuele Lugato教授。研究得到了国家自然科学基金、国家重点研发计划等项目的资助。
论文链接:https://doi.org/10.1038/s41467-024-55765-y